|
|
||
Теория темпоральной гравитации и природа сил Ван-дер-Ваальса | ||

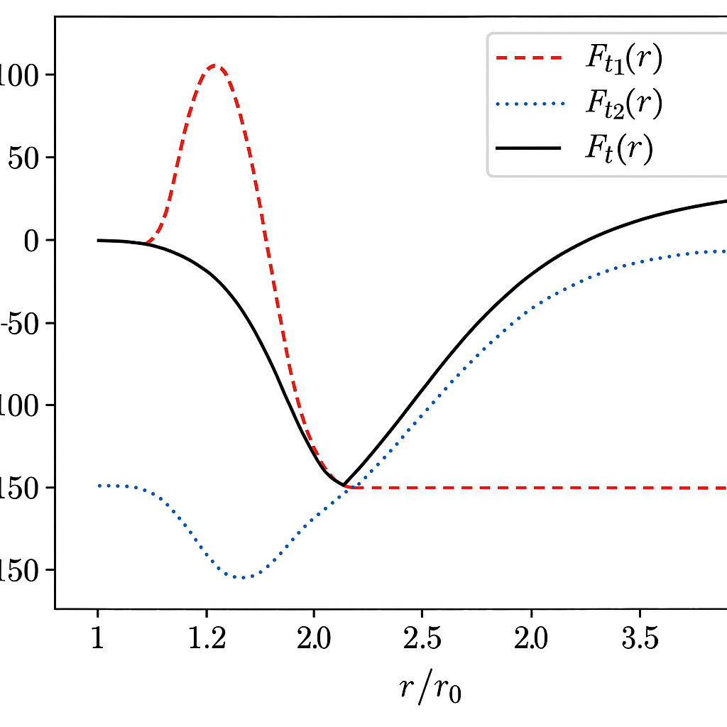
ьщ Figure 1B. Вклад членов TTG-силы F_t(r)
|
Компонент |
Цвет на графике |
Физическая роль |
|
|
|
|
|
|
|
|
|
|
|
|
|
r (") |
F_{\text{LJ}}(r) (нН) |
F_t(r) (нН) |
|
|
|
|
|
|
|
|
|
|
|
|
|
|
|
|

Figure 1. Сравнение силы TTG и классической модели
|
Характеристика |
Классическая модель (Лондона, LJ) |
TTG-подход |
|
|
|
|
|
|
|
|
|
|
|
|
|
|
|
|
|
|
|
|

Figure 2. Темпоральная сцепка двух нейтральных молекул

Figure 3. Временная камера для измерения сцепления
|
Параметр |
Квантовая модель |
TTG-модель |
|
|
|
|
|
|
|
|
|
|
|
|
|
|
|
|
|
|
|
|
|
Признак |
Классические подходы |
TTG |
|
|
|
|
|
|
|
|
|
|
|
|
|
|
|
|
|
|
|
|
|
|
|
|
|
|
|
|